This website works better with JavaScript
Главная
Обзор
Помощь
Вход
radu
/
LaTeX-examples
Следить
1
В избранное
0
Ответвить
0
Файлы
Обсуждения
0
Запросы на слияние
0
Вики
Дерево:
0085bb50d5
Ветки
Метки
master
LaTeX-examples
/
tikz
/
kalman-filter
Martin Thoma
f4674abc32
Make Kalman filter formulas more memorizable
9 лет назад
..
Makefile
8a46e994b5
Add kalman filter
9 лет назад
README.md
8a46e994b5
Add kalman filter
9 лет назад
kalman-filter.png
f4674abc32
Make Kalman filter formulas more memorizable
9 лет назад
kalman-filter.tex
f4674abc32
Make Kalman filter formulas more memorizable
9 лет назад
README.md
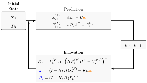
Compiled example
Example for a block-diagram.