This website works better with JavaScript
Trang chủ
Khám phá
Trợ giúp
Đăng nhập
radu
/
LaTeX-examples
Xem
1
Star
0
Fork
0
Các tập tin
Các vấn đề
0
Yêu cầu khéo về
0
Wiki
Tree:
d85550b33b
Branches
Tags
master
LaTeX-examples
/
tikz
/
kalman-filter
Martin Thoma
8a46e994b5
Add kalman filter
10 năm trước cách đây
..
Makefile
8a46e994b5
Add kalman filter
10 năm trước cách đây
README.md
8a46e994b5
Add kalman filter
10 năm trước cách đây
kalman-filter.png
8a46e994b5
Add kalman filter
10 năm trước cách đây
kalman-filter.tex
8a46e994b5
Add kalman filter
10 năm trước cách đây
README.md
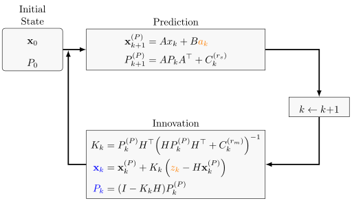
Compiled example
Example for a block-diagram.